上海蒲公英国际教育—雅思课程
2025-12-26
雅思课程培训班
上海蒲公英国际教育
*更多雅思课程开班时间,咨询:15502147668

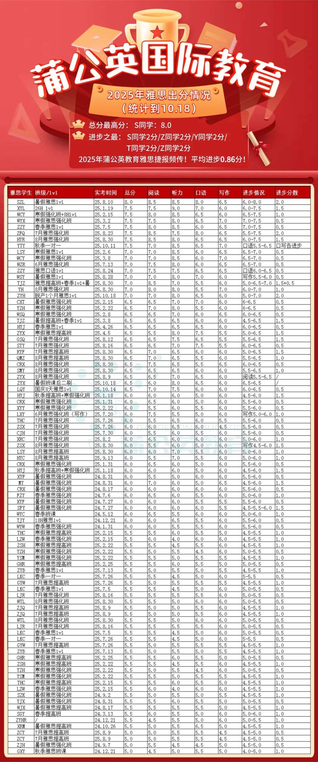
雅思课程大纲
上海蒲公英国际教育

我们始终将教学质量与授课效果放在首位,为保障教学水准,授课老师实行严格的动态淘汰机制 —— 以教学成果、学员反馈为核心评估标准,确保每一位授课教师都能持续提供高质量的教学服务。

真实口碑见证:所有学员*与案例均真实可查,不虚构、不夸大,坚信“*是检验教学实力的金标准”!

▶我们的校区坐落于徐汇区,交通十分便利,方便学员出行;
▶学习环境更是精心打造 —— 整体空间舒适静谧,让你专注投入学习;
▶校区楼下负一层就是美食城,各类餐饮选择丰富,轻松解决就餐需求,让你全身心沉浸学习,无后顾之忧。


【上海蒲公英国际教育雅思课程培训】
👇解锁大咖1v1基础诊断+备考建议👇
+v:P15502147668