雅思冲7你敢挑战吗?蒲公英零基础雅思培训班寒假计划,炸裂来袭,带你一路狂飙上分!
2025-11-19
背完了一本又一本词汇书,
真题刷到卷边,
雅思分数却始终在原地打转?
为什么付出了全部精力,
却还是跨不过的门槛?
蒲公英零基础雅思培训班🚀
【零基础雅思培训班】
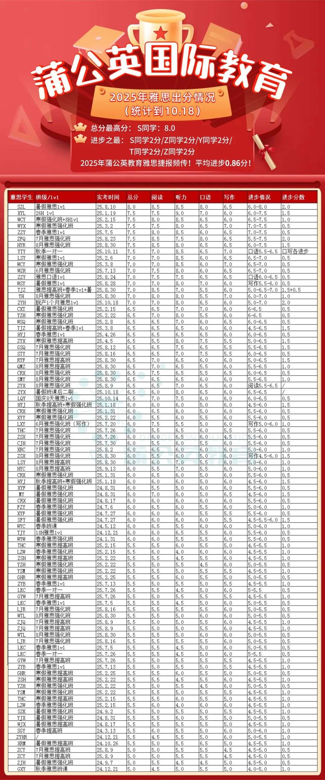
上海蒲公英雅思教研团队,
深耕数千位考生的真实反馈后发现:
瓶颈的背后是方法的偏差
死记硬背换不来流利表达
盲目刷题得不到精准
想要真正破局,你需要的是——
一套直击考点的科学备考方案


我们懂不同起点的迷茫,
更懂不同目标的期盼。
多维度课程设置,只为匹配的你——
✅班型全覆盖:基础班 | 提高班 | 强化班
从夯实根基到冲刺高分,每一步都稳扎稳打。
✅授课形式灵活选:线下班课 | 线上课程
无论居家还是到校,学习节奏不被打乱。


✅专属定制方案:一对一 | 平时班 | 周末班
在校学生、在职备考党,都能找到适配自己的备考节奏。

上海蒲公英雅思上分计划
✅懂考官的“加分思维”
✅拆真题的“满分逻辑”
✅拒模板的“地道语料”
✅有温度的“系统陪伴”




*蒲公英雅思教研组老师展示
蒲公英零基础雅思培训班课程以“高性价比”为原则,让优质教学不再高价
蒲公英双11狂欢季持续至11月30日!雅思早鸟价福利“课”不容缓!

雅思备考不用孤军奋战,上海蒲公英教育用专业师资、精准教学和灵活服务,帮你少走弯路、高效。现在咨询,获取你的专属寒假备考方案,开启你的雅思高分之路!
— 蒲公英零基础雅思培训班—
👇扫码添加资深教研老师👇
个性化备考规划
+vx:P15502147668

