上海A-Level国际生必看 | 圣诞不摆烂!雅思冲7+赶上26Fall末班车!10天上海蒲公英雅思封闭班集训营欢迎你的加入!
⏳ 警报拉响!26Fall留学申请已进入倒计时,英国多数G5及罗素集团院校将于 2026 年1月陆续关闭申请通道,留给学子的时间仅剩30天左右!而上海诺德安达等AL体系国际学校的圣诞假期已明确(12 月 15 日起陆续放假),这个假期正是弥补雅思短板、冲刺目标分数的黄金窗口期 —— 错过这十几天,可能就要与梦校 Offer 失之交臂。
☝🏻扫描上方二维码添加蒲公英资深教研老师☝🏻
咨询雅思课程获【1V1雅思备考规划】
以下是对“上海A-Level国际生必看 | 圣诞不摆烂!雅思冲7+赶上26Fall末班车!10天上海蒲公英雅思封闭班集训营欢迎你的加入!”内容的解读:

(上海A-Level体系国际学校2025年圣诞节放假时间汇总)
上海众多开设AL体系的国际学校,圣诞假期多结合学期安排与西方节日惯例设定,部分学校以寒假合并圣诞假期,部分单独划定圣诞假期,以下是2025年相关学校放假时间汇总:
此外,领科、民办位育等热门AL体系学校暂未公开 2025 年圣诞假期的明确安排,这类学校常将圣诞假期融入寒假,或仅围绕12月25日前后安排短期休假,建议后续关注学校官网发布的校历更新。
解锁寒假雅思优惠
6-8人小班
10-15年教学经验 雅思老师全职授课
扫码添加蒲公英小助手微信
备注【雅思】
解锁双十一狂欢季优惠直享95折
对于正在备战的上海学子而言,当前*大的困境莫过于:
雅思总分卡在 6 分瓶颈,单项不足 6.5 难以达标;
自学效率低下,真题刷遍却找不到关键;
申请截止在即,没时间反复试错。
而圣诞上海蒲公英雅思封闭班集训营,正是为解决这些痛点而来,专为冲刺26Fall的学子打造 “10天高效雅思计划”。
🎄 圣诞【上海蒲公英雅思封闭班集训营】核心优势,直击申请痛点:
雅思好*,自然令人心动!
↓↓
出分是雅思机构的核心竞争力,更是学员选择与信任的根本!
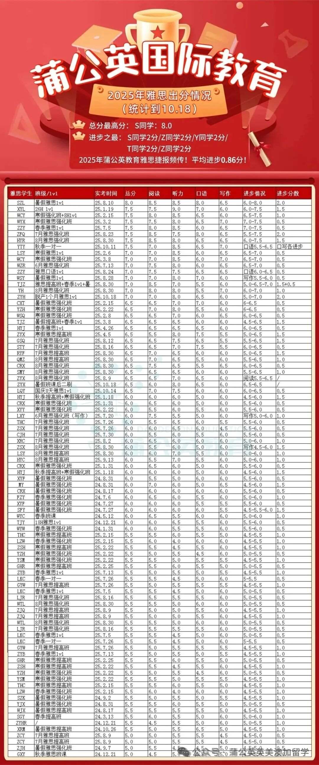
蒲公英总分*高分:S同学:8.0
进步之最:S……/Z……/Y……/T……/2……
2025年蒲公英教育雅思捷报频传!

上海蒲公英雅思封闭班集训营课程表
报名提醒:
课程资源珍贵,每期班课名额有限,先到先得,招满即止!
老学员报名可享额外优惠叠加福利!
如需咨询,欢迎随时私信;也欢迎将课程信息推荐给有需要的家长和同学~
上海蒲公英雅思封闭班集训营—配套服务
服务体系
服务:超精细化的词汇服务体系:包括做计划,复习,情绪价值陪伴,和良好的校风。另外,课后作业监督检查,结班后5天的模考答疑批改服务。服务水准远超同行。
服务介绍:
每天8:20-21:00,每天4小时正课,6小时辅练。
辅练有专门班主任查单词和作业,以及学术助教答疑和陪练口语写作。
结班后有5套免费模考,以及3次口语写作陪练和批改。
蒲公英部分师资介绍



仅展示部分
TEL|13162172398(同V)
上海蒲公英雅思封闭班集训营火热报名中
名额有限,快来扫码咨询雅思圣诞班吧