惊天!雅思冲刺班价格 “爆跌”,双十一福利价大跳水!上海蒲公英国际教育雅思冲刺班,火热报名!
2025-11-06
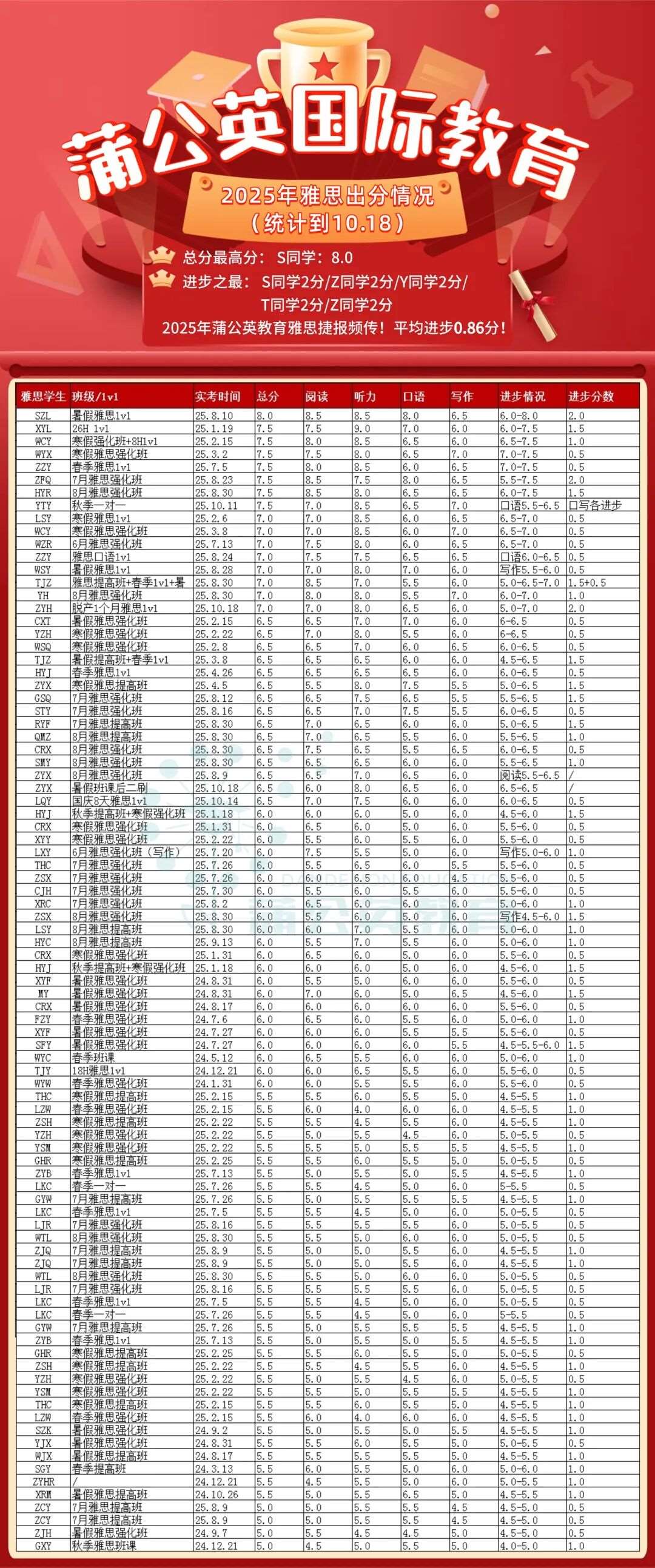
26年雅思冲刺班价格来啦~
福利一:狂欢季限时优惠
🔹针对“超值小班课”推出阶梯折扣:
单报小班课:原价29800元,双十一价享9.5折,立省1490元; 叠加优惠:两班连报或2人成团,可在9.5折基础上再享折上折,*高至9折;
额外福利:前20名报名者,赠送免费辅练课。
福利二:拼团专属福利
🔹聚焦寒假/圣诞节雅思课程,以拼团形式解锁更大优惠:
基础折扣:单独报名寒假圣诞季SAT/托雅课程,享9.5折; 5人拼团:直接享8折优惠,同时额外赠送“实用学习礼包”; 一对一课程:购买20小时以上的1v1课程,享9.5折优惠; 附加福利:添加“小蒲老师”可领取免费试听课(体验课程内容及教学模式)。
扫码咨询老师
vx:15502124668
了解更多雅思课程相关内容
👇👇👇
【雅思冲刺班价格】
扫码咨询老师
vx:15502124668
了解更多雅思课程相关内容

上海蒲公英做“每个环节过程的确定性”
服务:
超精细化的词汇服务体系:包括做计划,复习,情绪价值陪伴,和良好的校风。
课后作业监督检查
结班后5天的模考答疑批改服务
服务水准远超同行



👇👇👇
【雅思冲刺班价格】
扫码咨询老师
vx:15502124668
了解更多雅思课程相关内容
上海26年雅思冲刺班价格!
小蒲老师VX:yiyima83
手机号:15502124668

