震惊!!!雅思15天能进步1分?上海雅思寒假4-6人小班课程培训,留美博士的方法论,快速有效!
2025-11-07

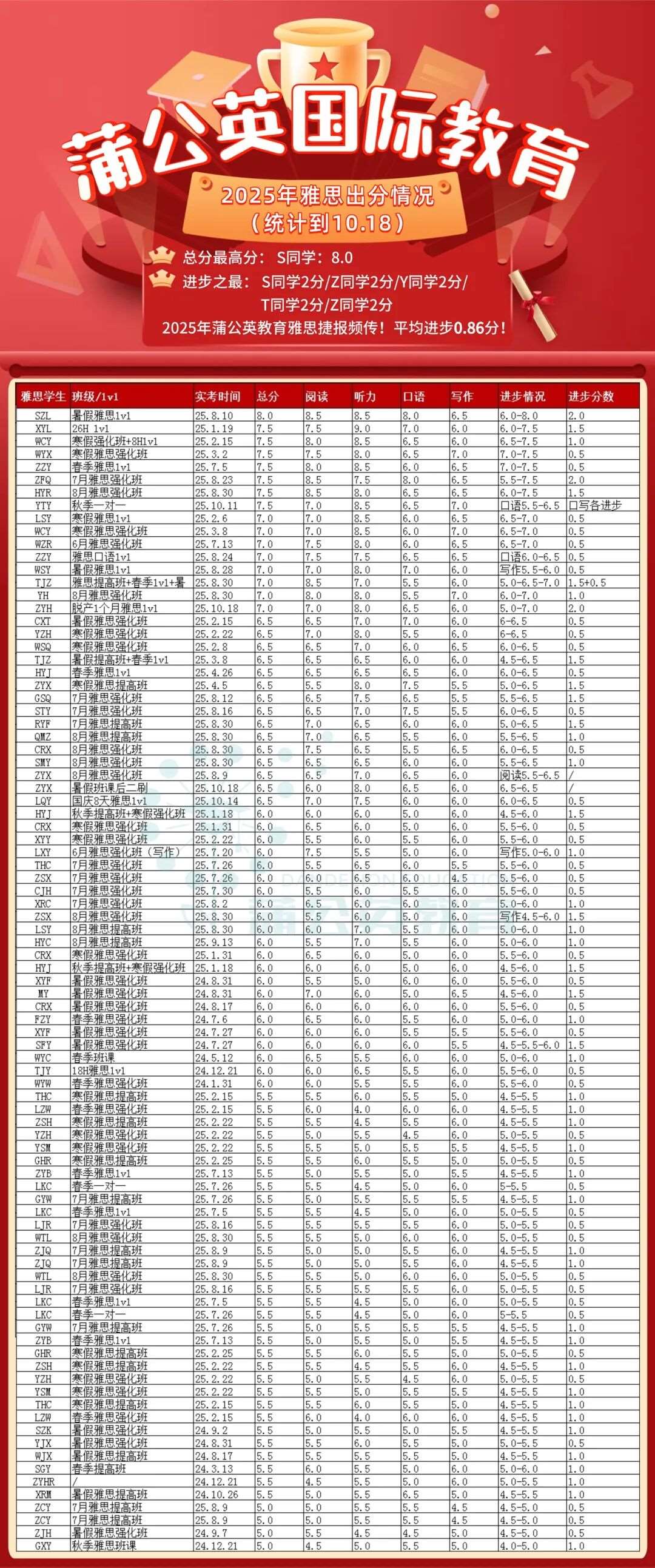
2026年上海雅思寒假4-6人小班课程培训来啦~
为什么选择蒲公英国际教育?
这几类同学/家长,我们的课程能精准匹配你的需求:
✅ 初高中基础薄弱,急需打牢英语根基的学生;
✅ 目标雅思7.5+的高中生/国际学校学生;
✅ 有提前规划意识,想利用寒假集中冲刺的家庭;
✅ 2026年申请留学,需在寒假高效出分的考生;
✅ 希望培养自主学习能力,适应系统英语学习的同学。
上海雅思寒假4-6人小班课程培训,用6大优势为护航:
✨ 精细化教学+沉浸式学习;
✨ 定制化出分+陪伴式督学;
✨ 10年+教龄一线名师团队;
✨ 精品小班授课;
✨ 研发标化教材;
✨ 一站式服务。
蒲公英国际教育服务细节一览
上海蒲公英国际教育特别推出26年雅思寒假精品小班,旨在为不同基础的学员提供量身定制的教学计划,帮助学员在短期内提升语言能力和应试技巧,为取得理想的*打下坚实基础。
01
精品小班授课 | 定制化教学
我们将采用小班授课+定制化教学相结合,确保*高的学习效率和学员个性化需求的满足。






02
定制化出分|陪伴式督学授课
全程打卡督导,帮助学生克服摆脱懒散和拖延症。
学生到校离校都会全程记录!





👇👇👇
【上海雅思寒假4-6人小班课程培训】
扫码咨询老师
vx:15502124668
了解更多雅思课程相关内容




学习之余,我们为学员们准备了特别下午茶~
奶茶、水果、烤肠、蛋糕、冰激凌
应有尽有
为大家随时补充能量🔋
缓解学习的疲惫




👇👇👇
【上海雅思寒假4-6人小班课程培训】
扫码咨询老师
vx:15502124668
了解更多雅思课程相关内容
上海雅思寒假4-6人小班课程培训!
小蒲老师VX:yiyima83
手机号:15502124668

