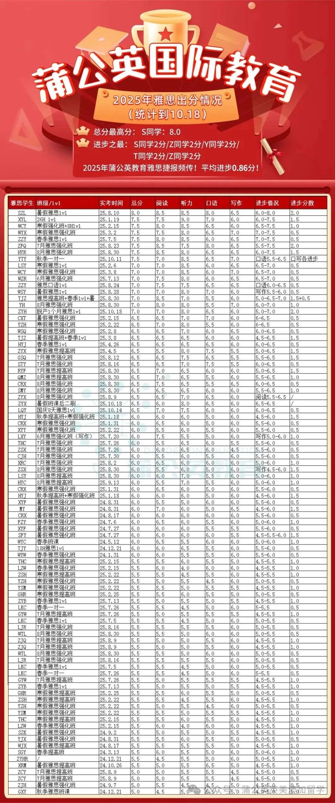
雅思寒假有“捷径”?现在抢跑竟能这么“省”!蒲公英雅思寒假培训辅导班早鸟通道揭秘
2025-11-08
想在寒假实现雅思分数的飞跃?要知道,真正有效的冲刺,绝非等到假期首日才匆忙开始——上海蒲公英雅思寒假培训辅导班早鸟价速抢,提前规划,赢在起跑线,避开备考弯路!
【雅思寒假培训辅导班】
寒假的核心价值在于“时间密度”——短短一个月的整块时间,一旦用错方法就再也无法重来。与其等到春节后追悔莫及,不如现在跟着蒲公英雅思寒假培训辅导班精准规划!

上海蒲公英雅思寒假培训辅导班直击备考痛点,用科学方案帮你把时间花在刀刃上:
报名即享「入学前水平专项测评」,从听力口音适应力、阅读逻辑拆解能力到写作论证深度、口语能力四大维度,精准定位你的薄弱项。测评后一目了然,拒绝盲目补弱。
针对不同水平定制专属路径:
基础薄弱:从术语积累入手,用词根词缀法夯实 8000 核心词;
中等水平:专攻阅读 “段落功能标记法”、写作 “分点嵌套法” 等技巧;
高分冲刺:聚焦口语精读,冲击目标分......

+v:P15502147668
教研组实时追踪雅思考试趋势,把新增考点融入课程:
21个句式,八大语法还有逻辑链,每节课都瞄准得分关键。

2025年雅思高分的关键,在于 “适应变化” 与 “精准发力” 的双重能力。上海蒲公英雅思寒假培训辅导班用专业测评、个性方案和考点直击,帮你把寒假变成黄金期。现在抢跑,省下的不仅是学费,更是冲击梦校的宝贵时间!
蒲公英雅思师资组
✦
•
✦
✦
左右滑动,查看更多
✦

现在双11狂欢季,千万别错过这个雅思早鸟价福利!

— 蒲公英雅思培训课程—
👇扫码添加资深教研老师👇
个性化备考规划
+vx:P15502147668





