雅思复议成功*高吗?多久出结果?操作流程是什么?
出分后看着*单,总忍不住疑惑:“我的口语/写作明明发挥不错,怎么才这点分?要不要复议试试?”
关于雅思复议,很多 “烤鸭” 都摸不准门道,今天就把雅思复议成功*、适用情况、流程全讲透,帮你判断该不该试。
【雅思复议成功*】

先明确大家*关心的:雅思复议成功*到底高不高?官方没给全球统一数据,但结合历年考生反馈和多方信息,总体成功*在 10%-20% —— 也就是说,10 个申请复议的人里,大概只有1-2个能成功,整体不算高。
两个重点影响因素:
科目差异:口语和写作的复议成功*,明显高于听力和阅读。因为听力阅读是客观题,对就是对、错就是错,评分弹性小;而口语写作是主观题,不同考官对 “流利度”“逻辑”“词汇” 的评判可能有细微差异,空间相对大些。
分数差距:想提 0.5 分的成功*,比想……以上的高得多。如果目标是从 5.5 提到 7,难度极大;但如果只是差 0.5 分就能达到目标院校要求,反而有机会。

这三种情况可以重点考虑:
比如口语考试时,你和考官交流顺畅,没背答案、没结巴,词汇语法也没明显问题,结果只拿了5分;或者写作格式对、没跑题、字数够,平时模考都能稳拿7分,这次却只有6分 —— 这种明显和真实水平不符的情况,复议值得试。

如果平时各科水平均衡,*单上却出现两科差 2 分及以上的情况(比如听力 8 分,口语却只有 5.5 分),大概率是考官误判或对评分标准理解有偏差,复议成功概率较高。但要是你本身就偏科,某科备考时几乎没练,那分差大就是实力问题,不建议复议。

口语和写作受状态、考官等因素影响大,分数容易忽高忽低。如果其他科目都达标,只有一门差0.5分,又不确定下次能不能发挥好,不妨试试复议 —— 毕竟赌一把,万一成功了就能省下去再考一次的时间和精力。

如果你还对雅思还没有思路,赶紧联系小助手咨询:
如果需要一对一,可以扫码预约

+v:P15502147668

首先是申请时限和方式:
必须在*单打印日期后的28天内申请,超过就没机会了。登录教育部考试中心雅思报名网站的个人主页,申请复议并缴费(目前费用是 1400 元),不用寄回*单原件。一旦付费,就不能取消或修改复议科目了。
注意:复议期间*会被冻结,如果 6 周内需要提交*给学校,千万别复议,免得耽误申请。
然后是复议时间和结果:
英国文化教育协会*多需要 6 周完成复议。申请后的 3 周内,你可以在报名网站修改*单寄送地址。
复议结果有三种:分数升高、不变、降低:
出分季总是有人欢喜有人愁,但无论结果如何,先理性评估自身情况,再决定要不要走复议这条路。祝各位 “烤鸭” 都能少走弯路,顺利拿到目标分!
👇雅思课程推荐👇
上海蒲公英教育为大家提供专业的雅思备考课程,根据学员基础安排*合适的班型和导师:

↑长按扫码,添加老师↑
+v:P15502147668
1V1定制专属备考计划
若你想高效、缩短备考周期,上海蒲公英教育雅思帮你:优秀师资团队拆解考点、科学备考方法避开无效努力、专属资料直击关键!
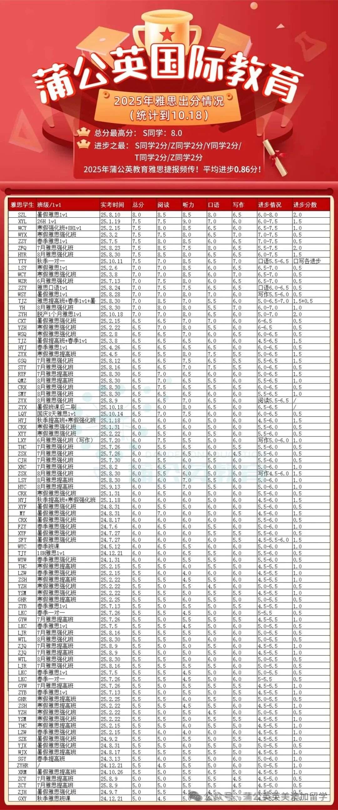
2025年蒲公英教育雅思出分
双11狂欢季,雅思福利“课”不容缓!

上海蒲公英教育
— 蒲公英寒假雅思课程—
👇扫码添加资深教研老师👇
个性化备考规划
+vx:P15502147668


