重磅!UCAS26Fall早申数据出炉,全球申请量再创新高
近日,英国大学招生服务中心正式公布ucas26Fall早申数据(截止10月15日),全球申请热潮再掀新高!
【ucas26Fall早申数据】
总申请人数突破7.9万大关,达到79,160人,较去年同比增长7.4%,创下历史同期*高纪录。其中,国际生和中国学生的申请势头尤为迅猛,成为本次数据的*大亮点。



国际学生对英国大学的热情也是有增无减,总数达24,350人,涨幅高达11.5%。中国依旧是*大国际生源地,申请人数从去年的4,970人飙升至5,750人,同比暴涨15.7%,增速远超国际生平均水平。
此外,美国(+280 人)、新加坡(+230 人)、印度(+140 人)等国家的申请需求也持续攀升,根据ucas26Fall早申数据可见英国高校的全球吸引力仍在不断增强。

+v:P15502147668

21岁及以上的成年申请者达6,600人,同比增长11.2%,ucas26Fall早申数据这一数据反映出终身学习理念的普及,越来越多成年人希望通过教育实现职业升级或个人提升。
26Fall英国留学早申竞争已然升级,无论是申请人数、国际生源还是专业热度,都呈现出稳步上涨的态势。对于后续申请者而言,精准定位专业方向、提前做好申请规划,将成为顺利上岸的关键。在如此激烈的竞争下,雅思*作为申请的关键筹码,其重要性不言而喻。蒲公英教育特此推出上海雅思线下班课程,助力你在申请大战中脱颖而出。
👇雅思课程推荐👇
上海蒲公英教育为大家提供专业的雅思备考课程,根据学员基础安排*合适的班型和导师:

↑长按扫码,添加老师↑
+v:P15502147668
1V1定制专属备考计划
若你想高效、缩短备考周期,上海蒲公英教育雅思帮你:优秀师资团队拆解考点、科学备考方法避开无效努力、专属资料直击关键!
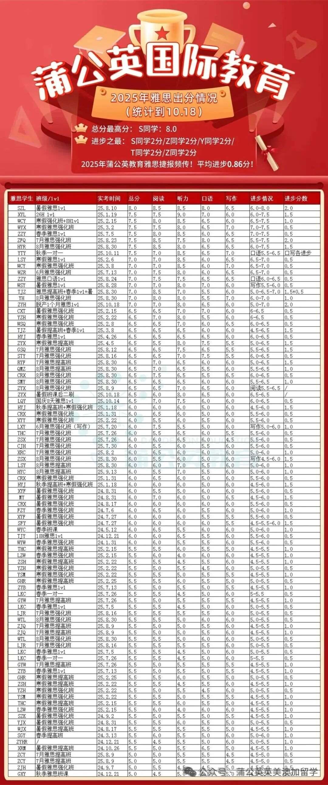
2025年蒲公英教育雅思出分
上海蒲公英教育
— 蒲公英寒假雅思课程—
👇扫码添加资深教研老师👇
个性化备考规划
+vx:P15502147668


