当前位置: 首页 资讯活动 不出国考雅思有用吗?雅思真的很难考吗?这些“隐藏福利”让你真香

不出国考雅思有用吗?雅思真的很难考吗?这些“隐藏福利”让你真香

2025-11-13

“不出国考雅思有用吗?”“雅思是不是特别难?”不少同学对雅思存在这样的误解,却不知这份*早已跳出“留学标配”的框架,成为升学、求职、搞钱的“硬通货”。

今天就来解锁雅思的隐藏用法,看完你可能会立刻想冲考场!联系顾问老师+v:P15502147668领取雅思全真模考免费测试~

地方资讯介绍关注二维码.jpg

 【不出国考雅思有用吗】

01

不出国考雅思有用吗
升学党狂喜:保研考研都加分

对大学生来说,雅思的用处从保研就开始了:

上海交大等高校明确将雅思6.0+作为保研硬性条件,就算没到硬性标准,不少学校也会把雅思*列为保研加分项,一分之差可能就决定能否拿到保研名额。

考研党同样受益:

很多专业复试包含英语口语测试,备考雅思的过程本身就是对听说读写能力的全面提升,口语流利的考生在复试中往往更受青睐。

此外,国内近300所高校认可雅思*,达到指定分数就能免修大学,把省出的时间用在专业课上不香吗?


02

不出国考雅思有用吗
钱途无量:奖学金+费用报销双丰收

考雅思不仅不亏,还可能“赚钱”:

北京航空航天大学、成都大学等高校都设立了雅思专项奖学金,*越好,拿到的奖金越多;

哈尔滨工业大学(威海)、河海大学等更贴心,学生雅思达到一定分数,直接报销考试费用,相当于免费考一次。

如果你还对雅思还没有思路,赶紧联系小助手咨询蒲公英圣诞/寒假雅思集训营课程:

如果需要一对一,可以扫码预约

图片

图片

+v:P15502147668


03

不出国考雅思有用吗
求职加分:外企国企都认它

进入职场,雅思*更是竞争力的体现:西门子、亚马逊等外企自不必说,招聘时常常要求雅思6.5分以上;中国建设银行等国企也越来越看重雅思*,把它作为英语能力的权威证明,有*的简历通过*直接翻倍。

想进体制内的同学注意了,外交部、商务部等涉外公务员岗位,以及部分事业单位,都明确将雅思*作为报名条件之一,有了它才能叩响涉外部门的大门。


04

不出国考雅思有用吗
灵活搞钱:副业机会随手抓

雅思*还是副业的“敲门砖”:文本翻译、字幕翻译等兼职,都认雅思*,稿费普遍在200-800元/千字;想做教学相关工作,雅思助教、口语陪练、教育机构讲师等岗位,也把雅思*作为核心能力证明,轻松实现“英语能力变现”。

+v:P15502147668

05

不出国考雅思有用吗
未来可期:交流与移民都用得上

就算当下不出国,未来想参加国际交流项目也离不开雅思:

昆山杜克、上海纽约大学等中外合办高校,要求雅思6.5-7.0分;985/211高校的校际交换项目,通常也需要雅思6.5+的*;

考虑移民或赴港发展的话,雅思更是刚需:

香港优才计划要求雅思6.0以上,澳大利亚、新西兰的打工度假签证也需要雅思总分4.5+,有*才能提高申请成功*。

看完这些用途,是不是发现雅思早已不是“留学专属”?它更像一份通用的英语能力认证,在人生的多个赛道都能帮上忙。与其纠结难度,不如尽早规划,让这份*成为你的加分项~

蒲公英雅思班,老师直接针对你的短板发力:

图片
图片

↑长按扫码,添加老师

+v:P15502147668

1V1定制专属备考计划

自律+方法是核心

英语学习本质靠自己,蒲公英课程是“加速器”而非“救命稻草”。如果你词汇扎实、带着问题来,再搭配双11优惠(小班课9.5折、拼团*高8折、前20名赠辅练课),效果超出预期!


现在就扫码预约免费雅思水平测试+试听课,先搞清楚自己的“症结”,再让蒲公英帮你针对性突破——雅思高分,其实没那么难!

具体班课咨询

可添加详细了解呀

上海蒲公英教育

紧邻地铁 交通十分便利
学习环境安静舒适,教学设备齐全
老师全程伴学,同学相互监督,无手机课堂  

👇扫码添加资深教研老师👇

个性化备考规划

+vx:P15502147668

图片

添加成功即可免费获取雅思备考资料


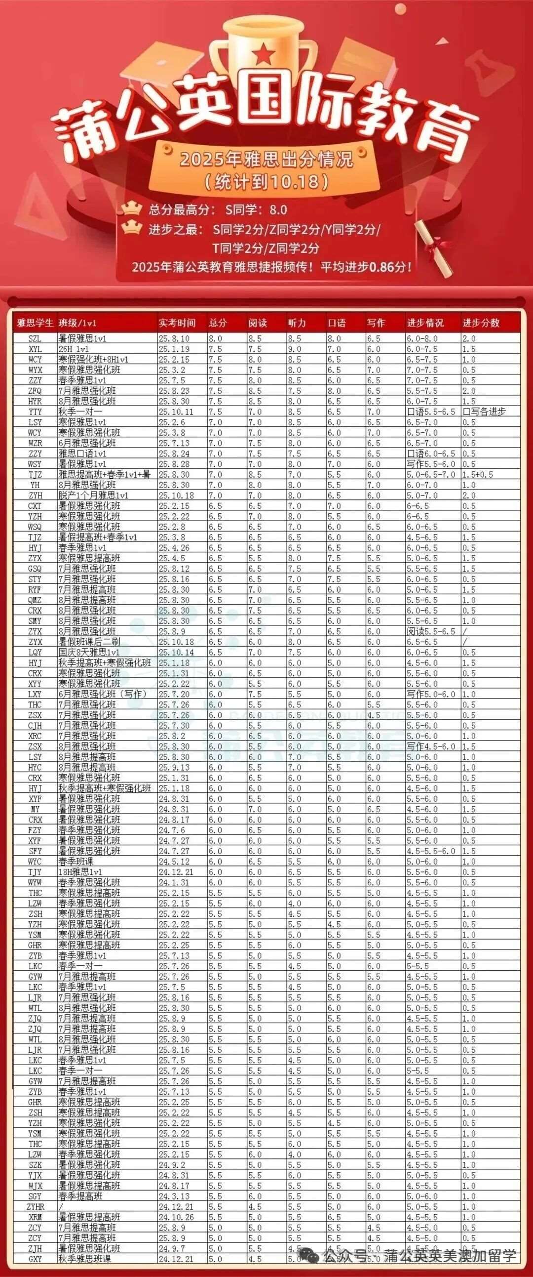
2025年蒲公英教育雅思出分


图片