别再瞎刷题!雅思寒假课程培训辅导天花板,在蒲公英5分也能上8!
你的雅思*还卡在5分原地踏步?刷遍真题却还是听力漏词、阅读卡长难句、写作没逻辑、口语没深度?别让雅思成为你拿offer的绊脚石——
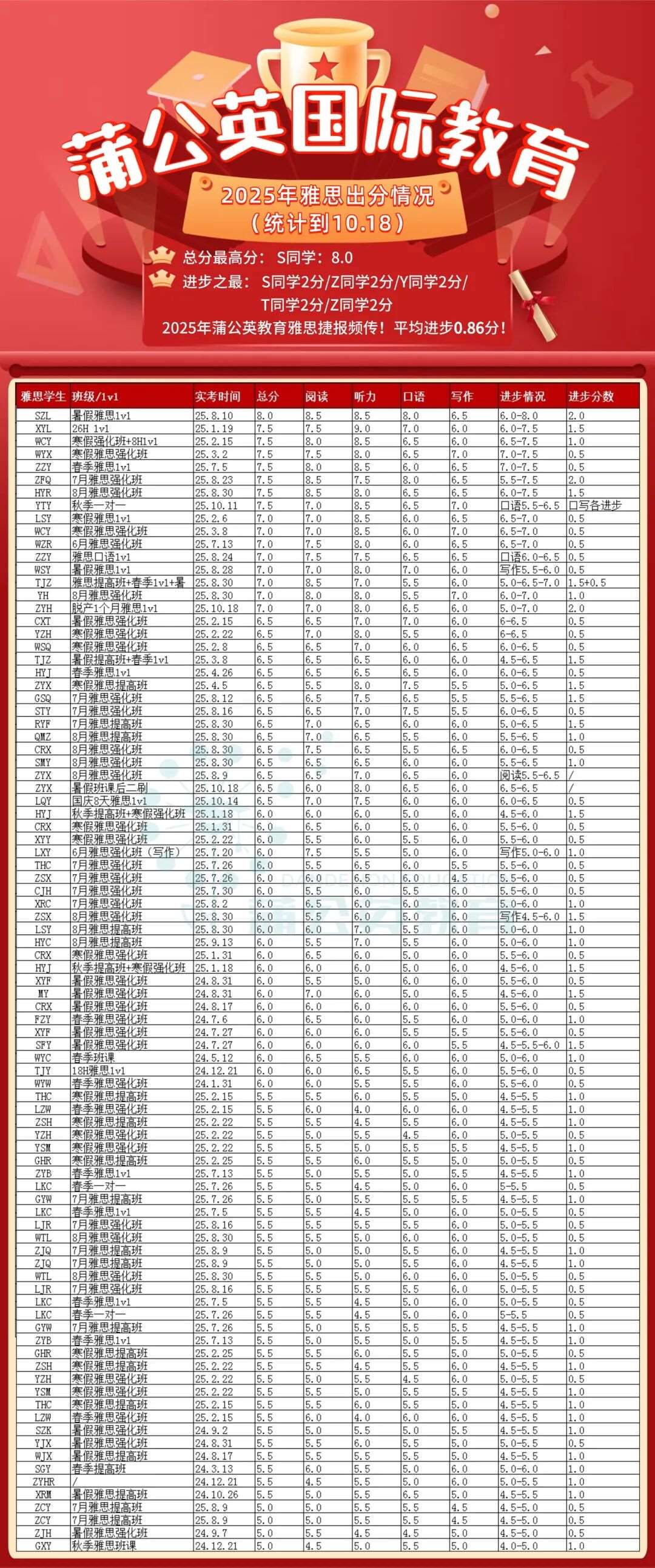
蒲公英雅思15年口碑沉淀的雅思寒假课程培训辅导,专为时间紧、目标高的你而来,众多学子已靠它顺利出分!
【雅思寒假课程培训辅导】
为什么蒲公英能帮你?答案藏在我们不搞虚的教学细节里:
不同于流水线课程,蒲公英从你接触课程的那一刻起,就开启“个性化”模式。
课前先精准诊断:基础如何?备考剩多久?目标分差多少?听力反应慢还是写作缺辩证思维?这些问题全摸清,再量身规划出分方案。
在这里,老师全程跟踪学情,定期调整方案、建立档案。我们懂考生“时间=分数”的紧迫,你的每一分钟都被高效利用,杜绝无效刷题和重复劳动。
课程质量的核心是老师。蒲公英的授课老师都要闯过严苛门槛:人均教龄超10年,不仅雅思功底扎实,更擅长把复杂知识点拆成你能吸收的方法。
他们知道雅思考生要的不是“炫技”,而是“拿分技巧”——长难句怎么快拆?写作逻辑怎么补?口语如何有深度?这些痛点都能帮你精准破解。
✦
•
✦
✦
左右滑动,查看更多
✦
耐心盯进度、用心改作文、细心抠口语,我们用责任心陪你熬过冲刺的日夜。

+v:P15502147668
15年深耕雅思,我们只靠口碑和出分数据立足。不少雅思考生曾屡屡碰壁:高二学生5分想冲7分换学校offer,大三学子6分卡壳急需7.5申商科,国际学校……却找不到突破点。在蒲公英的定制课程助力下,他们纷纷实现5→7、6→7.5的跨越,甚至有人考出8+的超预期*。
这背后是“多对一”团队的全链条支持:课前帮你明确方向,课中聚焦薄弱项突破,课后盯复习、解疑点,连心态波动都有老师及时疏导。从预习到测评,每个环节都有人托举,让你备考不慌。

蒲公英双11狂欢季持续到11月30日,千万别错过这个雅思早鸟价福利!
每一分的努力都在为offer铺路,这个寒假,别再盲目苦学浪费时间。蒲公英雅思15年只做一件事:帮雅思考生高效出分。
雅思考生专属福利:现在咨询,免费获取1对1雅思水平诊断+定制出分方案,抢占寒假黄金备考席位,让我们帮你把“拿分难”变成“一次过”!
上海蒲公英教育
👇扫码添加资深教研老师👇
个性化备考规划
+vx:P15502147668





