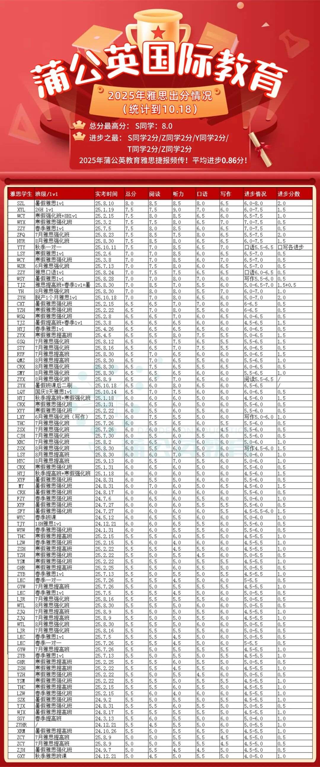
圣诞最后机会!雅思圣诞课程限额抢位,抢占年末冲刺先机,实现弯道超车!
2025-11-15
“想赶明年3月申请截止,雅思还没到目标分?”
“圣诞假期不想荒废,却不知道怎么高效?”
“刷了无数题,听力总卡6.5、写作难上7,瓶颈怎么破?”
眼看2025年只剩最后一个月,不少雅思考生陷入“时间紧、难”的焦虑——毕竟错过圣诞冲刺期,再想赶明年早申、语言班截止日,就真的来不及了!
别慌!雅思圣诞课程已上线,仅剩最后6个名额,从“卡分瓶颈”到“目标达标”,帮你抓住年末最后机会,实现弯道超车!
👇👇👇
【雅思圣诞课程】
扫码咨询老师
vx:15502124668
了解更多课程相关内容





蒲公英教育校区环境


小蒲老师VX:yiyima83
手机号:15502124668

