雅思不同分数对应水平?4.5?5.5?6.5?可别小瞧了0.5分的差距!
你知道雅思不同分数对应水平吗?可别小瞧了这每0.5分的差距,它其实代表着英语能力处于完全不同的阶层哦!上海蒲公英教育雅思课程招生进行中......
【雅思不同分数对应水平】
4.5分及以下:意味着你还未踏入雅思的大门
雅思官方认为,5分才是基础水平的起点。所以,如果你拿到这个分数,说明你的英语沟通理解能力还很基础,且容易犯错。
对应国内考试:四六级420分以下,高考以下,专四专八低于60分
5-5.5分:你算是迈进了雅思的门槛
但别忘了,根据最新报告,中国大陆雅思考生的平均分是5.9分。所以,这个分数还没到平均水平哦!
对应国内考试:四六级420-500分,高考,专四专八仍然低于60分
6-6.5分:雅思官方认为你已经达到了“合格水平”
这个阶段的你,不仅总分要看,各项小分也很重要。比如,听力6.5分,你能理解大部分内容;阅读6.5分,你能抓住关键信息;写作和口语6.5分,你的词汇更地道、复杂,且错误较少。
对应国内考试:四六级500-600分,高考,专四专八60-70分
7分及以上:雅思官方称之为“良好水平”
如果你一次就考到7分或以上,那你的数,基本可以让你自如地使用英语了。
对应国内考试:四六级600分以上,高考以上,专四专八70分以上
虽然雅思官方认为6-6.5分是合格水平,但申请海外学校时,要求可能会有所不同。
申请10周、20周语言班:5-5.5分是“合格分数”,但申请大学或专业,这个分数还不够。
申请大多数留学院校:6-6.5分是大众认为的合格线,也是出国交换、工作或保研考研的加分项。但记住,这只是*低要求。
申请院校:7分才是你的“合格分数”。想要冲刺全球学校,比如牛津、剑桥,你的总分需要达到7.5,且小分不低于7分。
了解了雅思不同分数对应水平,如果你还对雅思还没有思路,赶紧联系小助手咨询:
如果需要一对一,可以扫码预约

+v:P15502147668

👇雅思课程推荐👇
上海蒲公英教育为大家提供专业的雅思备考课程,根据学员基础安排*合适的班型和导师:

↑长按扫码,添加老师↑
+v:P15502147668
1V1定制专属备考计划
若你想高效、缩短备考周期,上海蒲公英教育雅思帮你:优秀师资团队拆解考点、科学备考方法避开无效努力、专属资料直击关键!
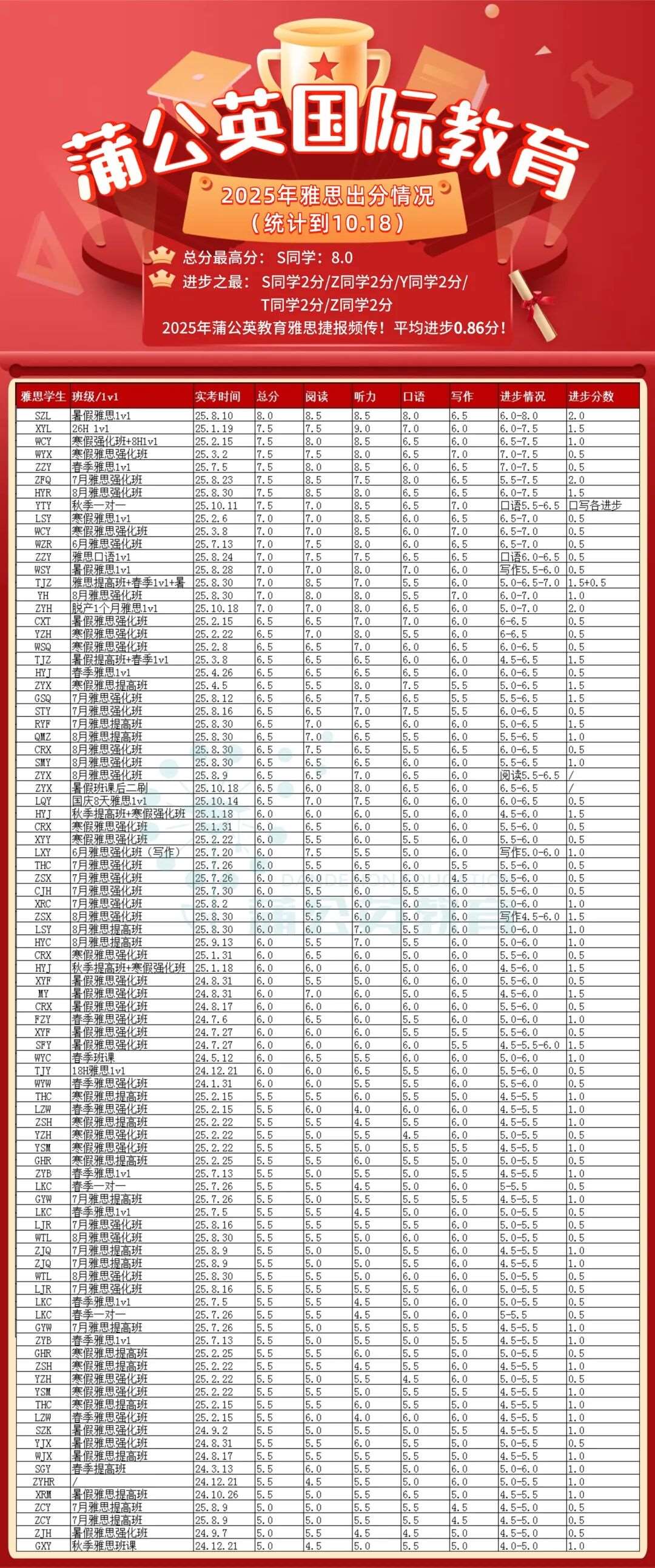
2025年蒲公英教育雅思出分
双11狂欢季,雅思福利“课”不容缓!
上海蒲公英教育





— 蒲公英寒假雅思课程—
👇扫码添加资深教研老师👇
个性化备考规划
+vx:P15502147668

