雅思备考需要报班吗?不当冤大头,先搞懂这几点再决定!
很多烤鸭纠结“雅思备考需要报班吗”,其实答案藏在你的目标分数和词汇量里。与其纠结报班与否,不如先按这两步理清思路,再选择蒲公英雅思课程,效率直接拉满!
【雅思备考需要报班吗】
若目标7分及以上,至少需要7000+词汇量;
目标6-6.5分,建议掌握50006000词汇;
基础薄弱(目标5分以下),先把初高中+雅思核心词汇啃透。
如果词汇量不达标,盲目报班大概率是“老师督促你背单词”——这事儿自己坚持也能做。
不如先跟着蒲公英单词个性化督导体系,把词汇关攻克:从精准词汇测试定位层级,到精细化背词计划(看背、听背、听抄任选),再到助教陪伴式督导+科学复习计划,让你背词效率翻倍,还能培养自律性。
雅思备考需要报班吗?如果你还对雅思还没有思路,赶紧联系小助手咨询:
如果需要一对一,可以扫码预约

+vx:P15502147668
词汇量够了,别着急报班!先花2-3周自学雅思真题,看看自己:
阅读是定位不准还是同义替换弱?
听力是辨音不行还是逻辑没理清?
写作口语是思路匮乏还是表达单一?
2025年雅思资料合集|雅思真题+解析+音频(剑4-20全),雅思真题pdf电子版免费领
带着明确问题报班,才能让课程价值最大化。这时来蒲公英雅思班,老师能直接针对你的短板发力:

报班≠躺赢,自律+方法才是核心
英语学习本质靠自己,蒲公英课程是“加速器”而非“救命稻草”。如果你词汇扎实、带着问题来,再搭配双11优惠(小班课9.5折、拼团*高8折、前20名赠辅练课),效果超出预期!
现在就扫码预约免费雅思水平测试+试听课,先搞清楚自己的“症结”,再让蒲公英帮你针对性突破——雅思高分,其实没那么难!
具体班课咨询
可添加详细了解呀
上海蒲公英教育
👇扫码添加资深教研老师👇
个性化备考规划
+vx:P15502147668
添加成功即可免费获取雅思备考资料
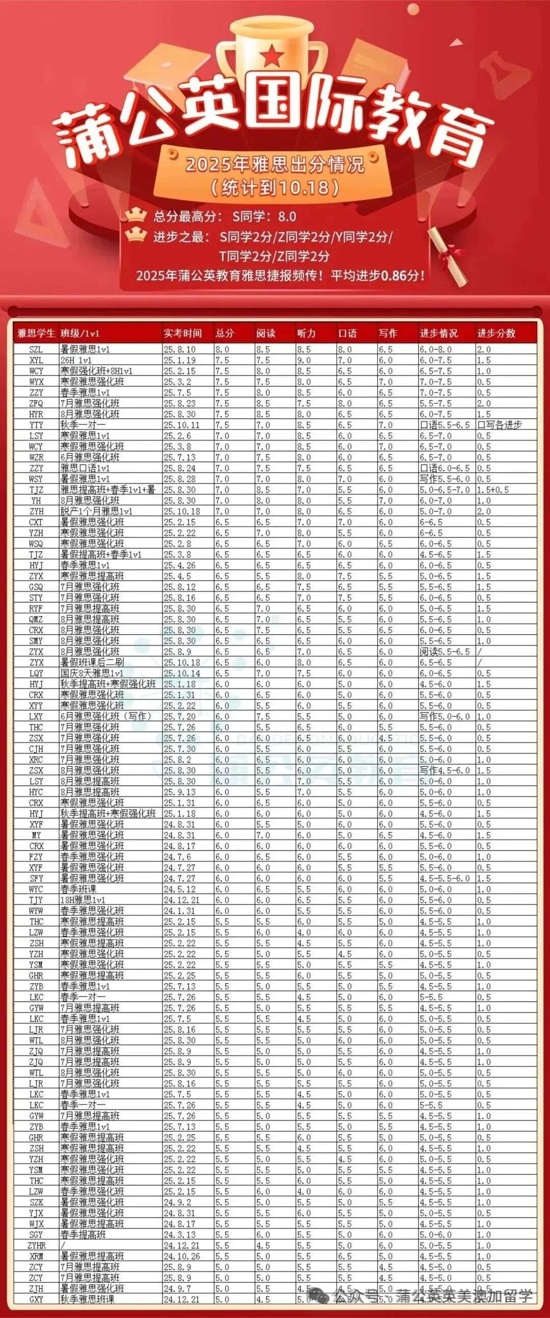
2025年蒲公英教育雅思出分
