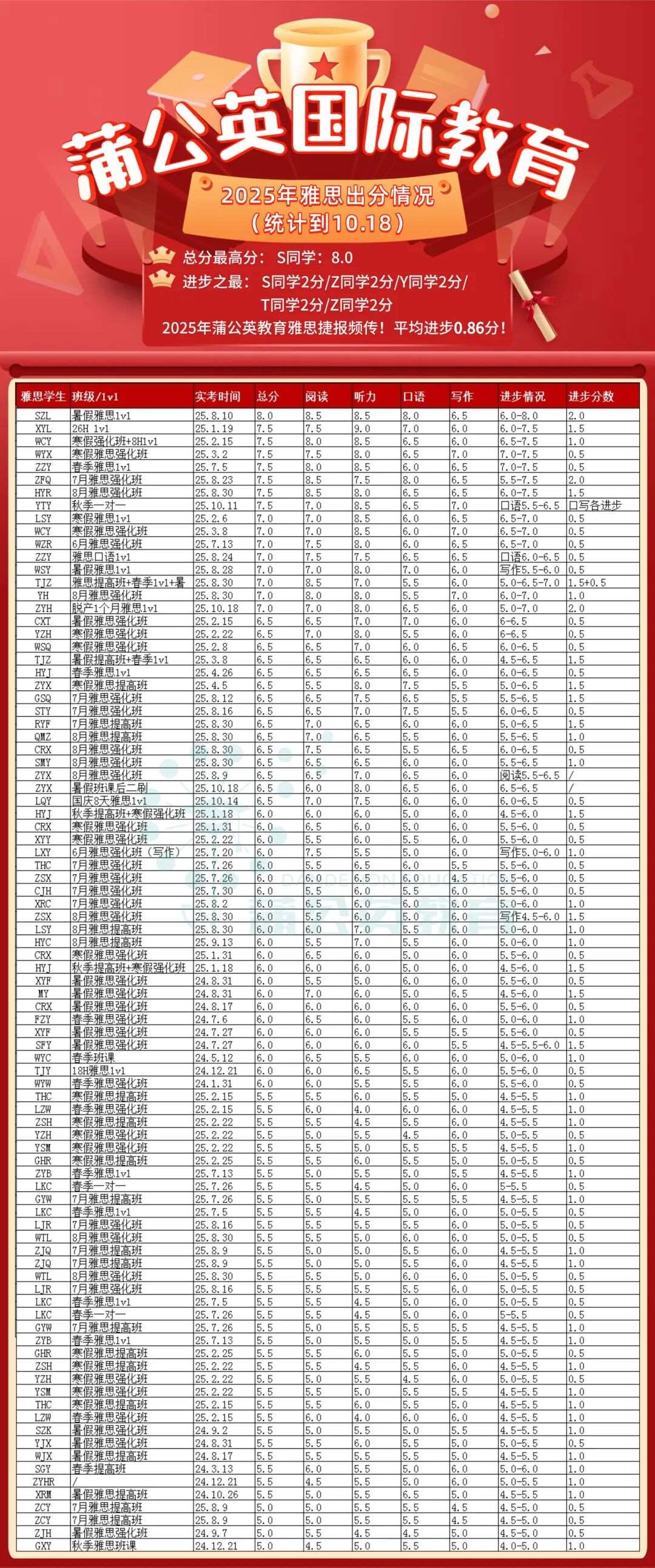
【上海寒假雅思培训课程】蒲公英1V1/4-8人小班高效备考!助你突破雅思7+!(基础/提高/强化/精品)
2025-11-10
入班要求:初高中词汇,阅读听力<4.5分;
入班要求:阅听双4.5-5.5分;
掌握雅思听说读写各题型、要求和评分标准,提高阅读和听力的理解能力,准确捕捉关键信息; 建立扎实的语言基础拓展词汇,提升基本的语法运用能力。建立口写表达能力,为首考打下基础。
入班要求:阅听双6.0-7.0分;
深熟练运用各种技巧方法,进一步提升阅读和听力的速度与准确性; 蒲公英口写有其独特的方法:21条语法,8大句式,10大逻辑思维方式,有助于学生化繁为简的快速掌握口写技巧,迅速。
课程安排:根据老师/学生时间安排适用于的高分某科薄弱学生/时间匹配不了班课;
👇👇👇
【上海寒假雅思培训课程】
扫码咨询老师
vx:15502124668
了解更多课程相关内容





上海蒲公英做“每个环节过程的确定性”
服务:
超精细化的词汇服务体系:包括做计划,复习,情绪价值陪伴,和良好的校风。
课后作业监督检查
结班后5天的模考答疑批改服务
服务水准远超同行
服务介绍:
每天8:20-21:00,每天4小时正课,6小时辅练。
辅练有专门班主任查单词和作业,以及学术助教答疑和陪练口语写作。

上海蒲公英教育入学测评介绍




蒲公英教育校区环境


小蒲老师VX:yiyima83
手机号:15502124668

