别白考了!雅思考试*有效期几年?过期了还能用吗?较高考生不知道!附上海蒲公英机构雅思寒假班(线下/线上课程)招生中
别白考了!雅思考试*有效期几年?过期了还能用吗?较高考生不知道!
此外,上海蒲公英机构雅思寒假班(线下课程/线上课程)正在火爆招生中,在2025年的寒假,跟随业内标化大神郭松坡博士团队科学高效的雅思课程,带你轻松冲刺雅思7分+!
☝🏻扫描上方二维码添加蒲公英资深教研老师☝🏻
咨询雅思课程获【1V1雅思备考规划】
以下是对“别白考了!雅思考试*有效期几年?过期了还能用吗?较高考生不知道!”内容的解读:

雅思考试*有效期几年?准备出国留学的同学一定发现了:雅思*有效期只有 2 年,可 GMAT、GRE 却能管 5 年!为啥差距这么大?今天就把雅思*有效期的门道扒得明明白白!
01
为什么雅思*有效两年?
首先,核心逻辑是语言能力的时效性。对于非英语母语的学生来说,英语水平波动很大 —— 可能两年不接触就大幅退化,也可能持续学习后显著提升。两年前的*,根本没法反映你当下能否适应国外的听课、沟通场景,所以官方用 2 年有效期锚定 “当前真实水平”,只允许在这期间用于留学或移民申请。
反观 GMAT、GRE,它们和雅思这类语言考试完全不同。以 GMAT 为例,作为商学院的入门测试,它考察的是逻辑分析、商科思维这类 “硬能力”,这类能力不会随时间轻易变化,自然能设置 5 年的长有效期。
其次是考试本身的迭代。2 年内考试模式、题型可能发生大变动,设置 2 年有效期,也是为了避免用旧题型的*,匹配新要求的申请场景。
👇下滑至文末 查看👇
更多前沿留学资讯/留学生那些事儿/留学标化语言考试
关注【蒲公英英美澳加留学】
02
雅思考试*真的只能2年有效吗?
答案是:不一定,部分院校要求更严! 雅思官方的统一规则是 “*自考试之日起 2 年有效”,但不少院校会制定自己的 “加码要求”。比如澳大利亚的皇家墨尔本理工大学、新南威尔士大学,只承认 “开学前 1 年内” 考取的雅思* —— ,是 “开学前” 而非 “递交申请前”。 校方的理由很实在:中国学生缺乏英语母语环境,长期不使用会导致水平下滑,短期*更能保证入学后能跟上课程、顺畅沟通。 所以一定要提前查目标院校官网,或直接联系招生办确认要求,别等*过期才发现不符合,耽误申请节奏!
解锁寒假雅思优惠
6-8人小班
10-15年教学经验 雅思老师全职授课
扫码添加蒲公英小助手微信
备注【雅思】
解锁双十一狂欢季优惠直享95折
03
雅思考试*过期还能用吗?
分场景来看,答案完全不同!
留学 / 移民场景:基本无效
我们常说的 2 年有效期,主要针对国外院校、官方机构。这些机构要求雅思主办方发送正式*,一旦过期,主办方会直接拒绝出具,你的*自然不被认可。
职场 / 个人提升场景:大概率有用
如果是应聘外企、外语老师,或单纯想增加竞争力,过期*未必没用:
看对方是否 “较真”:如果招聘要求里明确写 “近 2 年雅思*”,过期就无效;没提具体期限的话,这份*依然能证明你的英语基础。 看个人需求:要是你对自己的分数不满意,可继续刷分;也有人会定期考雅思检验水平,考多少次全看自己的目标。
关于雅思考试*有效期几年的核心问题就说透啦!不管是为了留学进修,还是职场加分,雅思都是硬通货。要是你还在为科学备考发愁,不妨看看我们的专业方案~
蒲公英雅思培训辅导课程已备好全面方案,欢迎咨询详情,让我们一同助力你攻克雅思英语难关,迈向留学梦想的新高度!
雅思课程培训辅导,长按扫码
备注“雅思”,在线咨询


郭博士亲自测试规划,需要请加微信预约!
徐汇飞洲校区:徐汇区零陵路899号飞洲国际大厦20楼G座
地铁1/4号线上海体育馆站一号口B1直达
以上是对“别白考了!雅思考试*有效期几年?过期了还能用吗?较高考生不知道!”内容的解读。

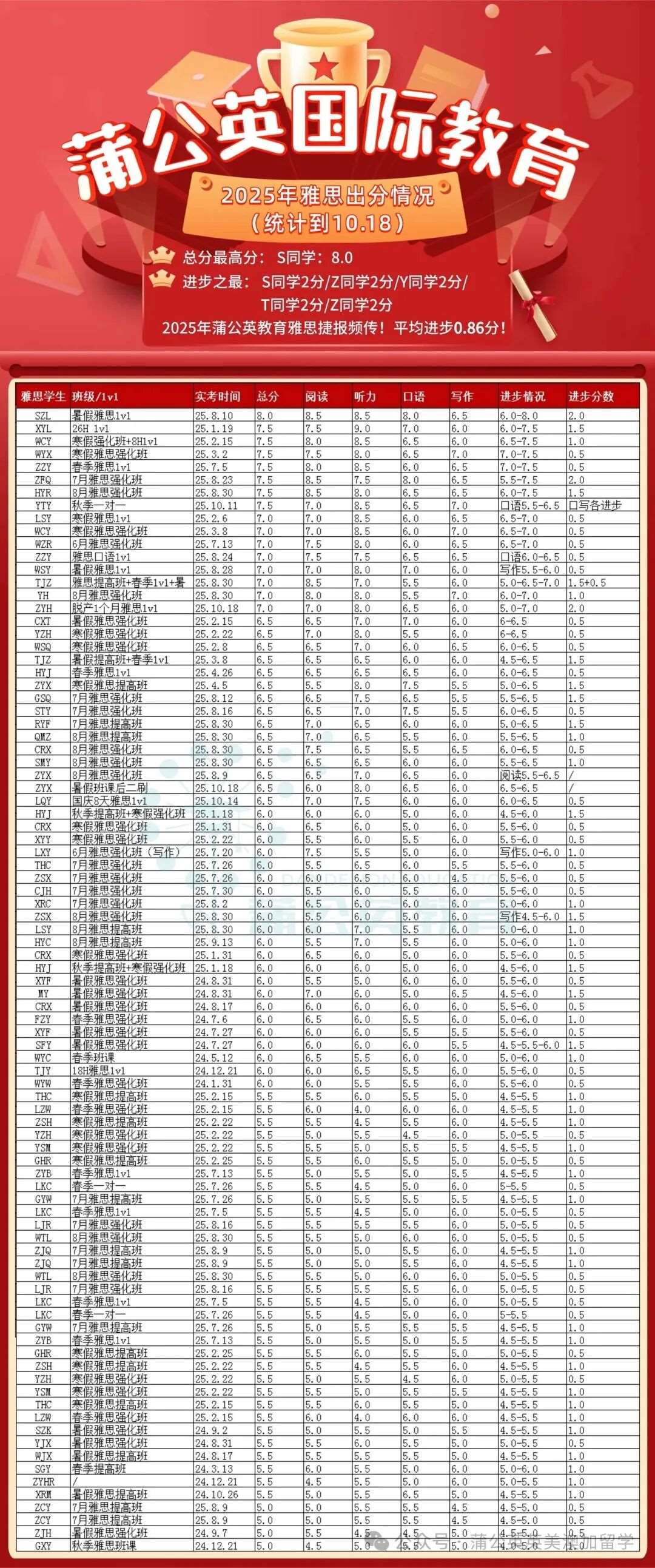
上海蒲公英雅思部分高分学员展示

上海蒲公英雅思课程培训机构招生
以下是蒲公英教育雅思寒假培训班详细安排:
班型设置:
雅思基础班、雅思提高班、雅思强化班、雅思一对一
报名提醒:
课程资源珍贵,每期班课名额有限,先到先得,招满即止!
老学员报名可享额外优惠叠加福利!
如需咨询,欢迎随时私信;也欢迎将课程信息推荐给有需要的家长和同学~

课后服务不断
蒲公英部分师资介绍



仅展示部分
TEL|13162172398(同V)
雅思考试*有效期几年?
蒲公英机构
上海线下初高中生雅思寒假班火热报名中
名额有限,快来扫码咨询雅思寒假班吧