雅思口语技巧:雅思口语7+密码:别让Part3成为你的绊脚石,附蒲公英寒假雅思课程介绍
“考官突然问‘为什么年轻人更爱外国电影’,我背的答案全用不上,当场脑子空白!” 不少雅思考生都栽在Part3的追问上——明明常规话题背得滚瓜烂熟,却在即兴提问前慌了神,最终口语分数卡在6分徘徊。
【雅思口语技巧】
你可能不知道,雅思口语Part3的追问根本不是“刁难”,而是考官给的“机会”。官方早已明确,追问的核心是考察“临场反应”与“思维深度”,目的就是打破你的背诵模式,逼出真实语言能力。能不能接住追问,正是6分与7+的分水岭。
很多考生把Part3等同于“背诵题库”,却忽略了追问的本质是“深度交流”,这就导致三大问题:
常规题能提前准备“个人感受”,但追问常要求从“个人视角”升级到“群体分析”,比如“如何改善电影行业发展”,需要的是逻辑论证而非简单描述。没练过深度思考的考生,自然会卡顿。
紧张之下,“Government should do something”这类空洞表达、语法错误频出,直接被考官判定“语言能力不足”。
Part3的评分重点本就是“拓展与深度”,追问正是核心考察环节。即便常规题答得好,追问仓促也会被贴上“只会背答案”的标签,分数直接降档。
如果你还对雅思还没有思路,赶紧联系小助手咨询:
如果需要一对一,可以扫码预约

+vx:P15502147668
其实追问有规律可循,掌握以下方法,就能把“危机”变“转机”:
1. 预判方向,提前备“角度”
考官的追问逃不出5大核心方向,围绕话题提前准备分析视角——比如聊“电影”就从“文化差异”“传播渠道”“审美偏好”等角度预设思路,临场不会慌。
2. 记牢“回答公式”,拒绝仓促
结构:直接回答+阐述理由+举例/对比。比如被问“年轻人爱外国电影的原因”,可答“主要是文化新鲜感(直接回答)。很多外国电影的叙事方式和价值观与我们不同,能满足好奇心(理由)。比如科幻片里的未来设定,是国产片较少涉及的(举例)。” 逻辑清晰,考官更青睐。
3. 模拟训练,练出“快反应”
找搭档扮演考官,常规题答完后随机追问,要求3秒内回应并套用公式;也可自录音频,自己追问自己,回放时检查卡顿、逻辑问题。多练几次,临场反应自然提速。
4. 积累“衔接词”,避免冷场
提前背熟“From my perspective”“One reason is that”“For instance”等短语,既能衔接思路,又能避免“嗯啊”卡顿,让表达更流利。
需要提醒的是,技巧≠捷径。这些方法需要结合1V1针对性打磨——专业老师能帮你发现思维漏洞、优化语言表达,让回答既有层次又有细节。
下次备考别再只死磕常规题了。Part3的追问不是考官的“陷阱”,而是展示你真实能力的舞台。花点时间练思维、磨表达,你会发现,口语7+的突破点,可能就藏在一次从容的追问回答里。
带着明确问题报班,才能让课程价值最大化。来蒲公英雅思班,老师能直接针对你的短板发力:

↑长按扫码,添加老师↑
+v:P15502147668
1V1定制专属备考计划
自律+方法是核心
英语学习本质靠自己,蒲公英课程是“加速器”而非“救命稻草”。如果你词汇扎实、带着问题来,再搭配双11优惠(小班课9.5折、拼团*高8折、前20名赠辅练课),效果超出预期!

现在就扫码预约免费雅思水平测试+试听课,先搞清楚自己的“症结”,再让蒲公英帮你针对性突破——雅思高分,其实没那么难!
具体班课咨询
可添加详细了解呀
上海蒲公英教育
👇扫码添加资深教研老师👇
个性化备考规划
+vx:P15502147668
添加成功即可免费获取雅思备考资料
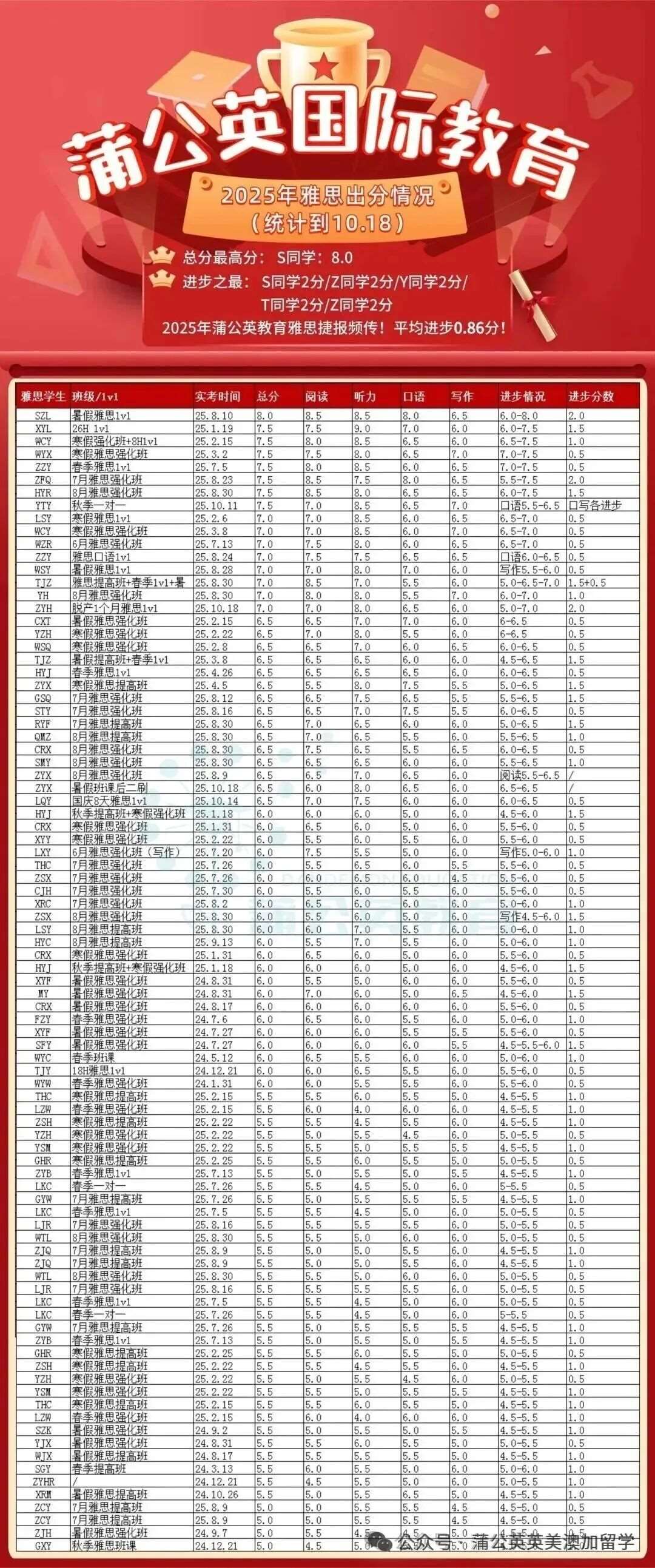
2025年蒲公英教育雅思出分
