最新!上海雅思考点红黑榜汇总!考点避雷指南/加分技巧,收藏这篇直接冲雅思7.0分+!附上海蒲公英机构雅思寒假培训班招生
上海雅思考点红黑榜汇总!雅思考场避坑指南!哪个好出分?哪个监考严到窒息?新手 & 刷分党必藏!
此外,上海蒲公英机构雅思寒假班(线下课程/线上课程)正在火爆招生中,在2025年的寒假,跟随业内标化大神郭松坡博士团队科学高效的雅思课程,带你轻松冲刺雅思7分+!
☝🏻扫描上方二维码添加蒲公英资深教研老师☝🏻
咨询雅思课程获【1V1雅思备考规划】
以下是对“最新!上海雅思考点红黑榜汇总!考点避雷指南/加分技巧,收藏这篇直接冲雅思7.0分+!”内容的解读:

(五星/四星上海雅思考点推荐报考)
| 形式 | 考点 | 具体地址 | 推荐指数 |
| 纸笔 | BC上海雅思纸笔考点分考场-2 | 上海市宝山区上大路1号文景楼3楼 | ☆☆☆☆☆ |
| 上海政法学院雅思纸笔考点 | 上海市青浦区徐泾镇蟠龙路5800号 | ☆☆☆☆☆ | |
| 上海应用技术大学(徐汇校区)雅思纸笔考点 | 上海市徐汇区漕宝路120号 | ☆☆☆☆ | |
| 东华大学雅思纸笔考点 | 上海市长宁区延安西路1882号 | ☆☆☆☆ | |
| BC上海雅思纸笔考点分考场-1 | 上海市普陀区铜川路50号 | ☆☆☆☆ | |
| BC上海雅思纸笔考点分考场-3 | 上海市普陀区丹巴路99号 | ☆☆☆☆ | |
| BC上海雅思纸笔考点分考场-4 | 上海市普陀区宜昌路575号 | ☆☆☆☆ | |
| 上海外国语大学雅思纸笔考点 | 上海市虹口区大连西路550号 | ☆☆☆ | |
| 华东师范大学(闵行校区)雅思纸笔考点 | 上海市闵行区东川路500号 | ☆☆☆ | |
| 上海对外经贸大学(松江校区)雅思纸笔考点 | 上海市松江区文翔路1900号 | ☆☆☆ | |
| 上海对外经贸大学(古北校区)雅思纸笔考点 | 上海市长宁区古北路620号 | ☆☆☆ | |
| 上海财经大学(纪念路校区)雅思纸笔考点 | 上海市杨浦区纪念路8号 | ☆☆☆ | |
| 上海财经大学(中山北一路校区)雅思纸笔考点 | 上海市虹口区中山北一路369号 | ★★ | |
| 机考 | 上海第二工业大学(浦东)雅思机考考点 | 上海市浦东新区金海路2360号 | ☆☆☆☆☆ |
| 上海师范大学雅思机考考点 | 上海市徐汇区桂林路81号 | ☆☆☆☆☆ | |
| 上海政法学院雅思机考考点 | 上海市普陀区三源路175号 | ☆☆☆☆☆ | |
| 上海海洋大学雅思机考考点 | 上海市杨浦区军工路318号 | ☆☆☆☆☆ | |
| BC上海(嘉地中心)雅思机考考点 | 上海市静安区北京西路968号嘉地中心16层 | ☆☆☆☆ | |
| 上海大学雅思机考考点 | 上海市宝山区上大路1号文景楼3楼 | ☆☆☆☆ | |
| 上海财经大学(纪念路校区)雅思机考考点 | 上海市杨浦区纪念路8号 | ☆☆☆ | |
| 天华学院(上海)雅思机考考点 | 上海市嘉定区胜辛北路1661号 | ★ |
🔥【红榜考点】五星封神!闭眼冲不踩雷!
星级环境:专注力直接焊死!
桌椅宽敞又舒服,久坐不累超适配长时间考试~ 考场安静到只剩笔尖轻响,完全没有外界干扰,沉浸式答题状态直接拉满!
神仙监考:紧张感瞬间清零!
监考老师专业度拉满还超有亲和力,全程温和引导流程,不催促、不施压,原本紧绷的情绪直接缓解大半,轻松发挥真实水平~
交通配套:省心到不用费脑!
地理位置优越,交通四通八达超好找!周边美食、住宿一站式配齐,外地考生也能快速安顿,不用为行程分心,全力备战考试~
网络设备:稳到没话说!
高速宽带 + 专业级设备双保障,考试全程零卡顿、零故障,彻底杜绝技术问题拖后腿,安心答题不慌神!
解锁寒假雅思优惠
6-8人小班
10-15年教学经验 雅思老师全职授课
扫码添加蒲公英小助手微信
备注【雅思】
解锁双十一狂欢季优惠直享95折
📍 上海必冲雅思考点清单:
1️⃣ BC 上海雅思纸笔考点分考场 - 2(宝山区上大路 1 号文景楼 3 楼)
配置:40 个机考考位 + 4 个视频口语考场,硬件拉满 亮点:高速宽带不卡顿,舒适座椅 + 降噪耳机,听力体验超棒 交通:地铁 7 号线直达,绿色出行超方便,自驾停车也无忧 2️⃣ 上海政法学院雅思机考考点(普陀区三源路 175 号) 配置:30 个机考考位 + 3 个视频口语考场,规模适中更安心 亮点:专业设备 + 飞快网络,降噪耳机隔绝干扰,答题思路不中断 交通:地铁 11 号线 / 15 号线上海西站直达,公交也便利,通勤无压力
💣【黑榜考点】避雷预警!这些坑别踩!
环境避雷:这些坑直接毁状态!
光线昏暗又压抑,越考越 emo!部分桌椅摇晃、还有破损,坐得不舒服就算了,还容易分心走神,直接拉低答题效率~
位置避雷:偏僻到让人崩溃!
藏在犄角旮旯里,导航都找不到!周边餐饮、住宿配套超差,外地考生安顿难,还容易迷路耽误考试时间,没开考先慌神~
设备避雷:网络崩了真要命!
网络时好时坏,卡顿是常态,甚至直接掉线!一定要提前备好应对方案,不然考试中途出问题,越慌越容易出错,直接影响发挥~
蒲公英雅思培训辅导课程已备好全面方案,欢迎咨询详情,让我们一同助力你攻克雅思英语难关,迈向留学梦想的新高度!
雅思课程培训辅导,长按扫码
备注“雅思”,在线咨询


郭博士亲自测试规划,需要请加微信预约!
徐汇飞洲校区:徐汇区零陵路899号飞洲国际大厦20楼G座
地铁1/4号线上海体育馆站一号口B1直达
以上是对“最新!上海雅思考点红黑榜汇总!考点避雷指南/加分技巧,收藏这篇直接冲雅思7.0分+!”内容的解读。

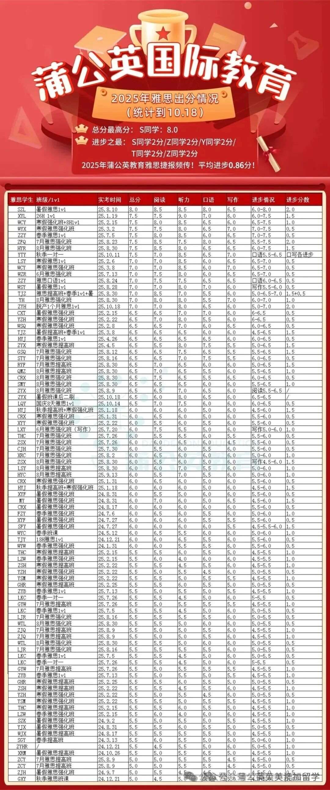
上海蒲公英雅思部分高分学员展示

上海蒲公英雅思课程培训机构招生
以下是蒲公英教育雅思寒假培训班详细安排:
班型设置:
雅思基础班、雅思提高班、雅思强化班、雅思一对一
报名提醒:
课程资源珍贵,每期班课名额有限,先到先得,招满即止!
老学员报名可享额外优惠叠加福利!
如需咨询,欢迎随时私信;也欢迎将课程信息推荐给有需要的家长和同学~
蒲公英部分师资介绍



仅展示部分
TEL|13162172398(同V)
上海雅思考点红黑榜汇总
蒲公英机构
上海线下初高中生雅思寒假班火热报名中
名额有限,快来扫码咨询雅思寒假班吧